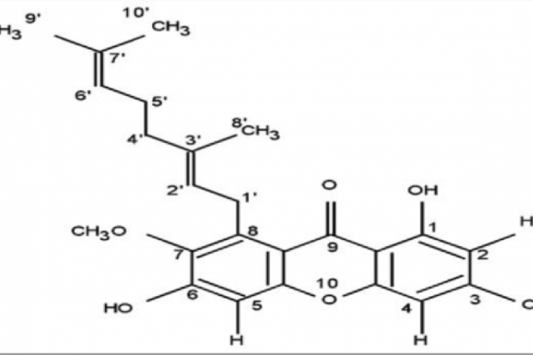
Home/ Phcog J, Vol 10, Issue 6(suppl), 2018/ Comparison between High Performance Thin Layer Chromatography and High Performance Liquid Chromatography Methods for Determination of Rubraxanthone in the Stem Bark Extract of Garcinia cowa Roxb
Comparison between High Performance Thin Layer Chromatography and High Performance Liquid Chromatography Methods for Determination of Rubraxanthone in the Stem Bark Extract of Garcinia cowa Roxb